LaTeX templates and examples — Exam
Recent

Template untuk pembuatan soal ujian Itera seperti UTS, UAS, Tugas, dan lainnya. Menggunakan exam class. Disertai tabel CPMK, tabel untuk otorisasi, lembar jawaban, serta contoh penulisan solusi.

The BHCexam document class attempts to make it easy for even a LaTeX novice to prepare exams. Especially designed for math teachers in China.

Esta plantilla fue elaborada de forma modular, ideal para docentes de la Universidad Científica del Sur, sin o poco conocimiento de LaTex. Modificar solo el contenido de "datos.tex", "Fila_A.tex" y los demás de ser necesario. Inicialmente fue elaborada para el Departamento Académico de Cursos Básicos, pero puede ser usada por otros departamentos o facultades, tanto de ciencias como de humanidades.

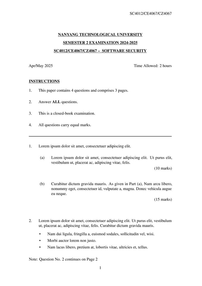
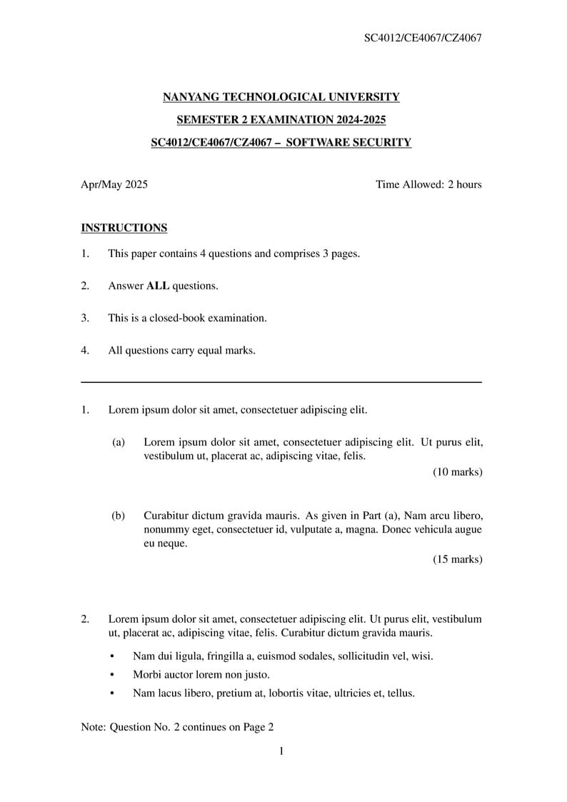
This project provides a LaTeX template for typesetting exam papers, which conform with the formatting guideline of the Nanyang Technological University (NTU). GitHub Repo: https://github.com/liyistc/ntu-exam

CUG undergraduate exam paper

This template is designed for setting up exams, leaving space for solutions. Questions include multiple choice, true or false, fill-in blanks, and short and long answers. Running header, footer, title page, instructions, and grade table are also available.

A template for Science Olympiad (SciOly) tests for event supervisors and test writers with examples of how to format questions and answers. Tutorial for use at lastlegume.github.io/blog/latex_tutorial

Template de prova da Uninassau.

Plantilla para generar exámenes cuyas respuestas se oculte de manera automática. Se basa en la clase aleph-examen.cls del proyecto Alephsub0.
\begin
Discover why over 20 million people worldwide trust Overleaf with their work.