overleaf template galleryLaTeX templates — Recent
LaTeX templates for journal articles, academic papers, CVs and résumés, presentations, and more.

This template is derivated from Beamer2Thesis 2.2 theme for Beamer (English version). This template uses the UnicamTh theme which is a fork of TorinoTh theme. This template can be used as baseline for thesis presentations. The UNICAM logo is included.

A thesis template for use at the Technical University of Denmark (DTU) following the DTU design guide at https://www.designguide.dtu.dk. For any suggestions, problems or bug fixes, please contact latex-support@student.dtu.dk

This template is for the submission of a technical report.

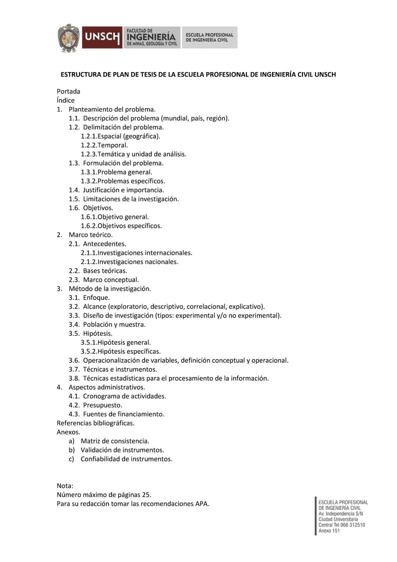
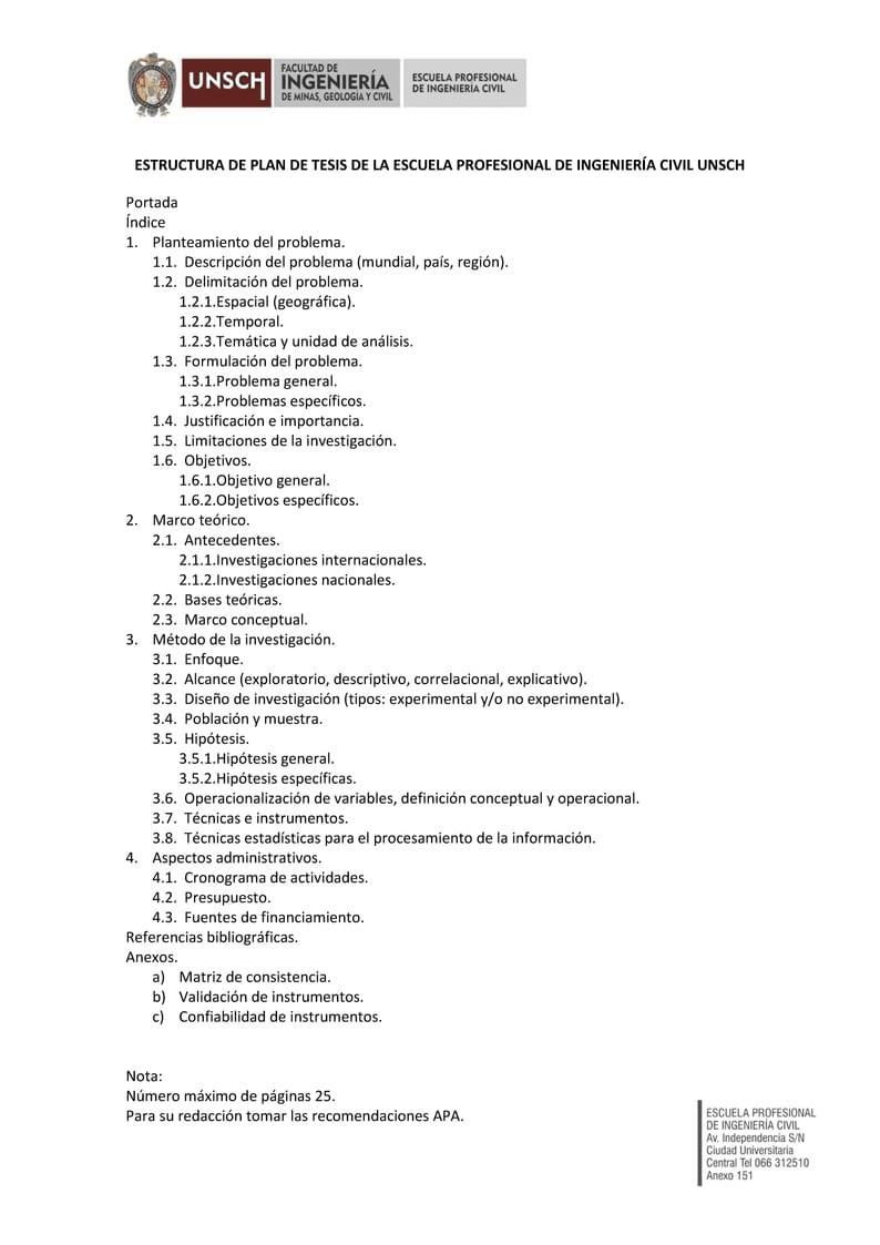
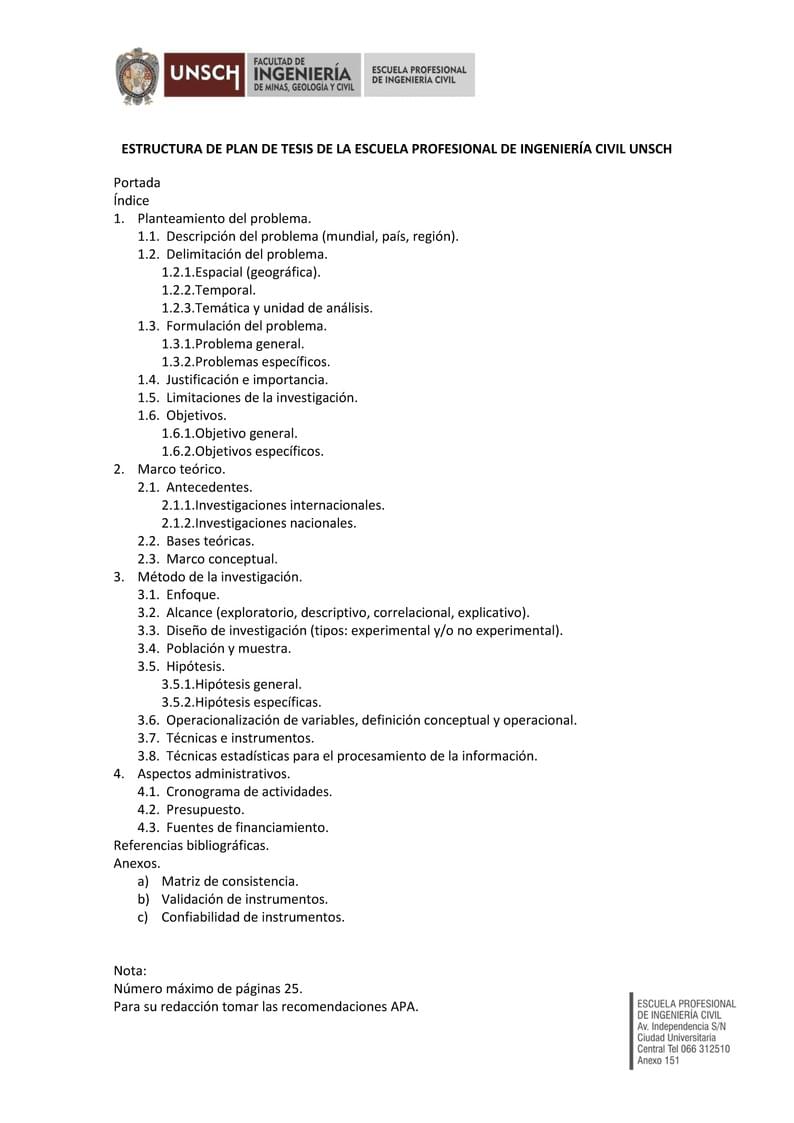
Example for a formal template of how the thesis should be submitted to Ben-Gurion University. This document contains all the necessary pages for submitting the thesis (including their translation in Hebrew) and chapters. Each chapter holds several examples, such as citing articles, adding images to the article and the table of contents, and more. The document is divided into several folders, each containing one chapter. The document has one main file which connects all the chapters and the opening pages. Formal titles, which appear on several pages, can be changed at once from the main file.

Template for the ESPERANTO H2020 MSCA RISE Project

Template, modello per tesi di laurea Università L'Orientale di Napoli. Ps: il frontespizio contiene il nuovo logo (2021)

Dit is een simpel verslagtemplate voor bijv een practicumverslag met Nederlandse comments bij de packages. Ook is de taal ingesteld in het Nederlands. De template gebruikt sans lettertype, die is wat professioneler dan de standaard. Succes!

A PhD thesis template for IIT Kharagpur, especially for Mechanical Engineering Department. Originally developed by IEEE during a conference at IIT Kharagpur. The template has been suitably modified for the department.

本项目为四川大学 Beamer 模板 Overleaf 在线版,在线编译时,由于 Overleaf 平台编译时间限制,请尽量避免使用复杂 tikz 绘图,同时采用俩次编译(初次开启 fast 模式编译,再次关闭 fast 模式编译)
\begin
Discover why over 20 million people worldwide trust Overleaf with their work.