overleaf template galleryLaTeX templates — Recent
LaTeX templates for journal articles, academic papers, CVs and résumés, presentations, and more.

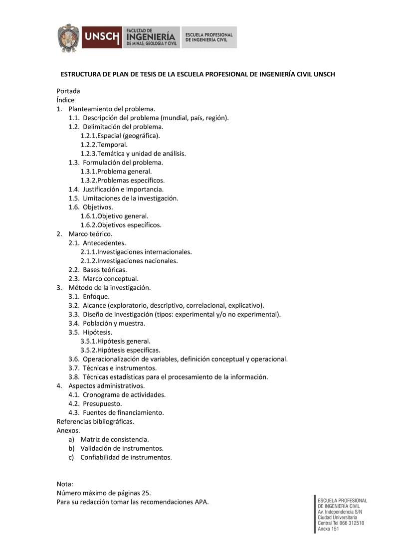
This template has been prepared to be used for college assignments and reports.

A template for developing a course outline/syllabus. It uses fontawsome and dingbat lists as well as mindmap for illustrating a grading scheme.

Template TCC CSL Mat IFRN SPP

This template includes a modern LaTeX package and a modern document-class for producing synopses, theses (and possibly other project-reports and proforma) with strict adherence to the official IIT Madras thesis-guidelines. Documents produced using this documentclass-package and template have been approved by the competent authority of IIT Madras, and they have been found to be conformant with the latest thesis-guidelines of the institute. Features – not based on the old template(s): written from scratch using modern LaTeX packages and best-practices strictly adheres to the official guidelines for theses and synopses formatted sections for 'Glossary', 'Abbreviations' and 'Notation' properly formatted bibliography and citation styles proper line-spacing and avoidance of hyphenation (even in long section headings and multi-line captions) various commands to simplify the writing experience without the need to edit complex source files Includes – a template for the synopsis a template for the thesis a simple tutorial for reference Changelog – 17/03/22: added an option to format the table of contents; minor formatting fixes 22/03/22: added some formatting options for the synopsis; re-structured the 'References' section for the synopsis; set some default styles in math mode 15/04/22: minor clean-up of some internals; updates to the tutorial 16/04/22: further clean-up of the internals to ensure better compliance with best practices; BUGFIX: fixed a bug that was introduced in the previous upadate 23/04/22: synopsis BUGFIX: adjust spacing in the cover page; provide sane, symmetric defaults for spacing in and around lists 25/04/22: added some new theorem-styles for theorem and theorem-like blocks

BSc and MSc thesis template for students of Electrical Engineering Faculty at Warsaw University of Technology updated according to requirements in January 2022. Szablon pracy dyplomowej inżynierskiej i magisterskiej dla studentów Wydziału Elektrycznego Politechniki Warszawskiej zaktualizowany zgodnie z wymaganiami ze stycznia 2022.

Simple template for a PhD thesis according to NUIG guidelines (at least to the best of my ability). This is for a monograph style thesis but i suppose in the case of a thesis by publication it's easy to insert the articles as PDF's and just change sections. I'm a chemist so the defaults are for a chemistry thesis but it can be easily adapted for other disciplines by adding/removing packages and citation styles. I couldn't find one for NUIG, so i made one that fit the criteria. Enjoy!

Thesis template for the Aeronautics Institute of Technology Template Thesis ITA ABNT NBR 6023:2018 Contribua com esse projeto pelo Github: [AlejandroRios/Template_Thesis_ITA](https://github.com/AlejandroRios/Template_Thesis_ITA)

A template for the Yale MEMS design reports. This is intended primarily for use in MENG 185, 325, 471, 472, 473, 474, 487, and 488.

A modular bachelor's project report template for students to extend from.
\begin
Discover why over 20 million people worldwide trust Overleaf with their work.