overleaf template galleryLaTeX templates and examples — Recent
Discover LaTeX templates and examples to help with everything from writing a journal article to using a specific LaTeX package.

Aadhithya Dinesh's Resume

Homework assignment LaTeX template created by Ted Pavlic. Source: Ted Pavlic’s homepage. This template was originally published on ShareLaTeX and subsequently moved to Overleaf in October 2019.

Sample LaTeX document of math homework, created by Robert Hanson. Source: Robert Hanson webpage. This template was originally published on ShareLaTeX and subsequently moved to Overleaf in October 2019.

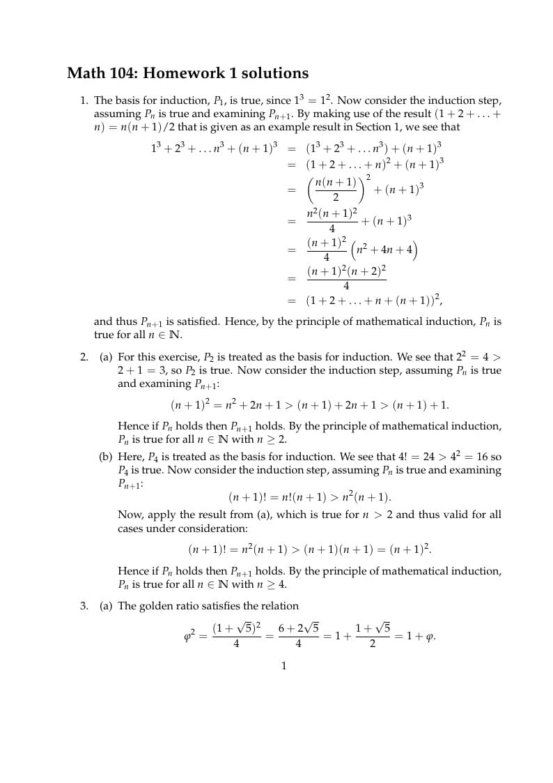
Sample LaTeX files for homework questions, with solutions, created by Chris Rycroft. Source: http://people.seas.harvard.edu/~chr/104.S12/hw/ This example was originally published on ShareLaTeX and subsequently moved to Overleaf in October 2019.

Simple brochure template created by Krishnakumar Mayuram Ravikumar. This template was originally published on ShareLaTeX and subsequently moved to Overleaf in October 2019.

Modelo de Proposta de Projeto IFMG Betim

Swedish version of the letter template, according to the School of Electrical Engineering of Swedish Royal Institute of Technology (Kungliga Tekniska Hogskolan, KTH) rules. This template was originally published on ShareLaTeX and subsequently moved to Overleaf in October 2019.

A single column resume template with a clean layout.

This demo file is intended to serve as a "starter file'' for IEEE conference papers produced under LaTeX. This is one of a number of templates using the IEEE style that are available on Overleaf to help you get started - use the tags below to find more.
\begin
Discover why over 20 million people worldwide trust Overleaf with their work.